L’amianto appartiene ai silicati fibrosi, minerali molto comuni in natura con proprietà ignifughe e fonoassorbenti, dotati di resistenza elettrica, al calore, agli attacchi di aggressivi chimici (acidi/basi); qualità che lo hanno reso, grazie anche al basso costo, uno dei materiali più apprezzati e utilizzati nell’edilizia, finché negli anni ’90 si è scoperta la sua natura cancerogena. La sua pericolosità dipende dalla capacità dei materiali di rilasciare fibre potenzialmente inalabili nell’aria, per effetto di manipolazione, lavorazione, vibrazioni, correnti d’aria, infiltrazioni.
Normativa Amianto per l’Italia
Legge smaltimento amianto 257/1992
La legge 257/1992 stabilisce le modalità per la dismissione dell’amianto dalla produzione e dal commercio, per la cessazione di estrazione, importazione, esportazione e utilizzazione dello stesso e dei prodotti che lo contengono, per la realizzazione di misure di decontaminazione e di bonifica delle aree interessate dall’inquinamento da amianto, per la ricerca finalizzata alla individuazione di materiali sostitutivi e alla riconversione produttiva e per il controllo sull’inquinamento da amianto.
Bonifica Amianto: normativa e prescrizioni della 257
La normativa prescrive che i lavori per la bonifica da amianto debbano essere appaltati ad un’impresa in possesso dei requisiti che deve redigere la notifica preliminare da inviare alla ASL competente per territorio, richiedere all’impresa esecutrice l’attestazione della conforme esecuzione dei lavori e, infine, attuare il programma di controllo e manutenzione.
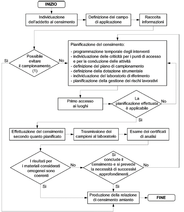
Norma UNI 11870 e introduzione censimento amianto
Di recente pubblicazione, la norma UNI 11870 definisce i metodi di individuazione e i criteri di censimento per i materiali contenenti amianto (MCA) nelle strutture edilizie, negli impianti a servizio degli immobili, nei macchinari e negli impianti afferenti a reti di produzione e distribuzione.
Come stabilito nella norma, il soggetto titolato (Soggetto sul quale ricade l’obbligo di provvedere al censimento dei MCA) deve provvedere al censimento dei MCA attraverso le seguenti fasi:
- individuazione dell’addetto al censimento a seguito della valutazione della competenza acquisita in materia;
- attività preliminari al censimento dei MCA: l’addetto al censimento deve definire il campo di applicazione del censimento specificando i manufatti coinvolti e le aree che, in via preliminare, non è possibile ispezionare. Il passo successivo consiste nel raccogliere le informazioni e individuare gli elementi per effettuare il censimento dei MCA;
- effettuazione del censimento dei MCA secondo quanto pianificato.
L’addetto al censimento, esaminati i certificati di analisi trasmessi dai laboratori di riferimento e, qualora nell’ambito di una porzione di materiale omogenea l’amianto risulti presente solo in alcuni dei campioni prelevati, deve, alternativamente:
- rivalutare il piano di campionamento, oppure
- prevedere la necessità di effettuare ulteriori successivi approfondimenti per tali materiali.
L’ultima fase prevede che l’addetto al censimento predisponga e sottoscriva una relazione di censimento amianto che raccolga e sintetizzi le decisioni prese e le conclusioni sull’attiva svolta.
Di seguito uno schema riepilogativo fornito dalla norma.

Normativa Amianto Aggiornata: UNI 11903:2023
Info aggiornate a giugno 2023
Ad integrare la disciplina della norma UNI 11870 ci ha pensato la più recente UNI 11903 che esplica i requisiti di conoscenza, abilità, autonomia e responsabilità degli addetti al censimento dei materiali contenenti amianto.
La norma, pubblicata il 21 aprile scorso, si inserisce nell’ambito delle attività professionali non regolamentate ed elenca le caratteristiche della figura che si deve occupare di questa delicata attività. Ecco in estrema sintesi i contenuti della norma.
Compiti, attività e conoscenze dell’addetto al censimento
I compiti dell’addetto al censimento possono essere riassunti in 2 voci:
- Programmazione attività preliminari,
- Raccolta di informazioni documentali e tecniche.
Per entrambi i compiti sono definite anche le relative attività di dettaglio.
Abilità e responsabilità dell’addetto al censimento dei materiali contenenti amianto
La norma prosegue evidenziando le abilità richieste all’addetto al censimento (gamma esauriente di abilità pratiche e cognitive per dare soluzioni creative a problemi astratti), le responsabilità in autonomia (saper gestire e sorvegliare attività in contesto lavorativo o di studio suscettibili di cambiamenti imprevedibili) e le conoscenze specifiche da possedere (storia e legislazione in merito all’amianto, potenziali vie di esposizione alle sostanze dannose, statistiche e best practice di gestione e analisi).
Leggi anche dal blog:
- Valutazione Rischio Chimico nei luoghi di lavoro: cosa considerare?
- Valutazione del rischio stradale: occorre cambiare marcia!
- Valutazione rischio incendio: pronti 3 nuovi decreti e il Mini-Codice
- Valutazione Rischio Fulminazione: quando e come effettuarla
Hai altri dubbi sui rischi connessi all’amianto? Chiedi un consiglio ad uno dei nostri esperti.

